三级非营利性综合医院         医疗保险定点医院 工伤保险     生育保险    农村合作医疗定点医院
通知公告
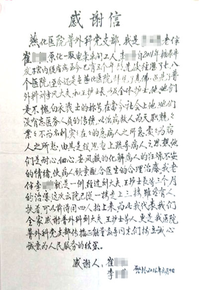
杏林春暖
专项活动
上一篇: 患者家属王xx送锦旗感谢康复医学科医务人员大医精诚、妙手仁医
下一篇: 杏林春暖丨燕化医院患友送画作“天使的笑容”